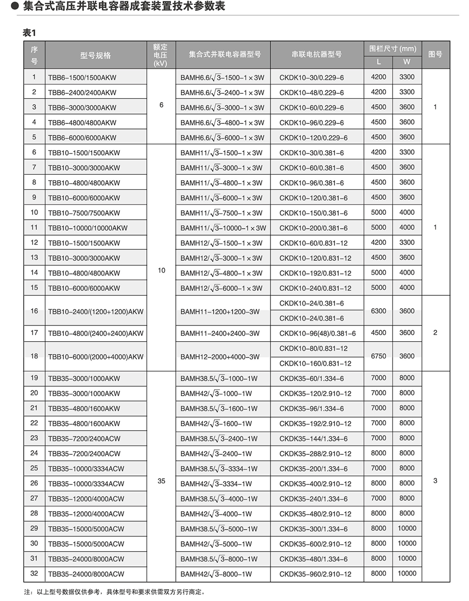
高壓電容器及成套裝置 電力電纜附件 低壓電容器及成套裝置 電線電纜 電力安全工具 永錦首頁 > 產品中心 > 高壓電容器及成套裝置 產品推薦 高壓并聯(lián)電容器 高壓并聯(lián)電容器成套裝置 集合式高壓并聯(lián)電容器 集合式高壓并聯(lián)電容器成套裝置